Demokratie als Arena von Konflikt und Kompromiss
Demokratie lebt von Konflikt – und der Fähigkeit, ihn beizulegen
Wenn Wahlen das Hochamt der Demokratie sind, dann hält auch das Jahr 2026 viele Feierlichkeiten bereit. Es stehen fünf Landtagswahlen und auch einige Kommunalwahlen an. Rund um Wahlen werden auch die Unterschiede zwischen Parteien, Kandidat:innen und politischen Lagern besonders deutlich. Das sprichwörtliche Ringen um die besseren Lösungen – der politische Konflikt – wird in der öffentlichen Wahrnehmung jedoch häufig als Symptom demokratischen Versagens verstanden. Bei offener Uneinigkeit zwischen Parteien oder innerhalb von Regierungen wird schnell mangelnde Führungsfähigkeit oder eigennütziges Handeln unterstellt. Zum Jahresbeginn hat auch eine repräsentative Umfrage gezeigt, dass fast die Hälfte der Deutschen sich weniger Streit in der Politik wünscht.¹ Während anzunehmen ist, dass Uneinigkeit zwischen Parteien grundsätzlich kein Problem darstellt, scheint Streit innerhalb der Regierung in der öffentlichen Wahrnehmung besonders auf Unmut zu stoßen. Solche Konflikte werden dabei nicht selten als wenig produktiv wahrgenommen und eher als Störung eines vermeintlich konsensorientierten Idealzustands der Demokratie interpretiert, statt als Ausdruck demokratischer Prozesse, der der Demokratie tatsächlich zugutekommt.
Gerade diese Perspektive greift jedoch zu kurz. Sie verkennt, dass Demokratien keine Systeme sind, die auf Konsens beruhen, sondern auf der institutionell geregelten Austragung von Konflikten. In pluralistischen Gesellschaften lassen sich unterschiedliche Interessen, Werte und gesellschaftliche Positionen nicht widerspruchsfrei integrieren. So gibt es weder eine Steuerpolitik, die alle glücklich macht, noch eine Rentenreform, von der jede Generation gleichermaßen profitiert. Jede politische Entscheidung hat Gewinner und Verlierer. Sie muss Interessen gegeneinander abwägen, wie beispielsweise jene zwischen Wohlhabenden und Geringverdienenden oder zwischen Jungen und Alten. Politischer Streit ist daher kein Ausnahmezustand, sondern Ausdruck gesellschaftlicher Vielfalt und politischer Repräsentation.
Gerade weil Konflikt ein zentrales Funktionsprinzip demokratischer Politik ist, wird seine negative politische Bewertung durch große Teile der Bevölkerung zum Problem. In einem Umfeld, in dem Kompromisse zunehmend als Schwäche ausgelegt werden, gerät der Umgang mit demokratischen Aushandlungsprozessen selbst unter Rechtfertigungsdruck. Das kann weitreichende Folgen haben.
Das Dilemma der (Regierungs-)Parteien: Durchsetzung vs. Kompromissbereitschaft
Während sowohl Konflikte als auch Kompromisse in allen demokratischen Systemen zentral sind, gilt dies insbesondere für Mehrparteiensysteme mit Koalitionsregierungen. Die Notwendigkeit von Konflikt und Konsens ist vor allem für Koalitionsparteien deutlich spürbar. Koalitionen befinden sich dabei in einem permanenten Spannungsfeld (Mair 2009). In diesem ist Konflikt kein Zeichen von Schwäche, sondern Ausdruck politischer Realität, in der Parteien unterschiedliche Anliegen der Gesellschaft in Einklang bringen müssen.
Konflikt ist daher notwendig, um die Vielfalt gesellschaftlicher Interessen und Meinungen in pluralistischen Demokratien politisch sichtbar zu machen und in politische Aushandlungsprozesse einzubringen. Dies wiederum kann zu einer stärkeren Zufriedenheit mit dem demokratischen System beitragen, da sich auch jene, die zurzeit nicht der politischen Mehrheit angehören, im Prozess gesehen fühlen. Ohne offene Konflikte blieben neue gesellschaftliche Fragen unbearbeitet und politische Weiterentwicklung aus. Gerade dadurch tragen Konflikte zur Weiterentwicklung der Demokratie bei.
Gleichzeitig geraten Regierungsparteien schnell unter Druck, wenn sie in diesen für Demokratie zentralen Aushandlungsprozessen Kompromisse suchen und eingehen. Das Problem verschärft sich, wenn Wähler:innen das Gefühl bekommen, dass Versprechen aus dem Wahlkampf nicht eingehalten werden können. Besonders wahrscheinlich wird dies, wenn sich Parteien in Koalitionen zusammenschließen, die sich ideologisch nicht besonders nahestehen. Auch wenn man vermuten würde, dass sich beispielsweise die amtierenden Regierungsparteien SPD und Union in vielen politischen Forderungen ähneln, so zeigt sich doch, dass dies nicht zwingend der Fall ist. Die Forderungen der jeweiligen Koalitionspartner gehen in Teilen weit auseinander und finden in Teilen auch innerhalb der eigenen Fraktionen nicht immer nur Zustimmung. Dies erfordert Aushandlungen sowohl zwischen als auch innerhalb der Regierungsparteien.ie daraus resultierenden Kompromisse wirken häufig wie Notlösungen, anstatt als gemeinsam getragene Positionen, die von den Parteien mit voller Überzeugung vertreten werden. In einem stark fragmentierten Parteiensystem, in dem oftmals auch die regierenden Parteien ideologisch weiter auseinanderliegen, werden Konflikte innerhalb der Regierung wahrscheinlicher – und ihre öffentliche Wahrnehmung als Problem damit ebenfalls.
Wenn Kompromisse zum Verrat erklärt werden
Trotz ihrer zentralen Bedeutung für die Funktionsfähigkeit von Koalitionsregierungen werden Kompromisse im öffentlichen Diskurs sowohl von Bürger:innen als auch in den Medien häufig abgewertet. Dieses Missverhältnis zwischen der politischen Notwendigkeit von Kompromissen und ihrer öffentlichen Bewertung legt nahe, dass nicht nur strukturelle, sondern auch kommunikative und narrative Faktoren eine Rolle spielen. Vor diesem Hintergrund rückt die Rolle populistischer Akteure in den Fokus, deren moralisch aufgeladene Darstellung von Politik und dem Handeln von Politiker:innen die Wahrnehmung von Kompromissen nachhaltig beeinflusst. Kompromisse werden von populistischen Akteuren häufig als Schwäche, Verrat an Prinzipien oder als Zeichen fehlender Responsivität wahrgenommen.
Um zu veranschaulichen, wie verbreitet diese Sichtweise in der deutschen Bevölkerung ist, zeigt Abbildung 1 auf Basis einer deutschlandweiten repräsentativen Umfrage aus Dezember 2025 zunächst die grundsätzliche Zustimmung zu der Aussage, dass politische Kompromisse einem Verrat an Prinzipien gleichkommen. Der überwiegende Teil der Bürger:innen ordnet sich bei dieser Frage in der Mitte (teils/teils) ein und sieht Kompromisse weder eindeutig als Verrat noch lehnt diese Sichtweise ausdrücklich ab. Zugleich zeigt sich jedoch, dass der insgesamt größere Anteil der Befragten eher oder sehr stark der Meinung ist, dass Kompromisse ein Verrat an Prinzipien sind.
Abb. 1: Einstellungen zu Kompromissen

Anm.: Eigene Darstellung basierend auf einer aktuellen Umfrage der Bertelsmann Stiftung durchgeführt von YouGov (n=2.017, bevölkerungsrepräsentative Stichprobe, Feldzeit 09.12.-18.12.2025): Zustimmung zur Aussage „Was in der Politik Kompromiss genannt wird, ist in Wirklichkeit nur ein Verrat von Prinzipien“ (Skala: 1 (stimme überhaupt nicht zu) – 11 (stimme voll zu)). Variable wurde zur besseren Veranschaulichung in 5 Kategorien basierend auf kontinuierlicher Messung zusammengefasst.
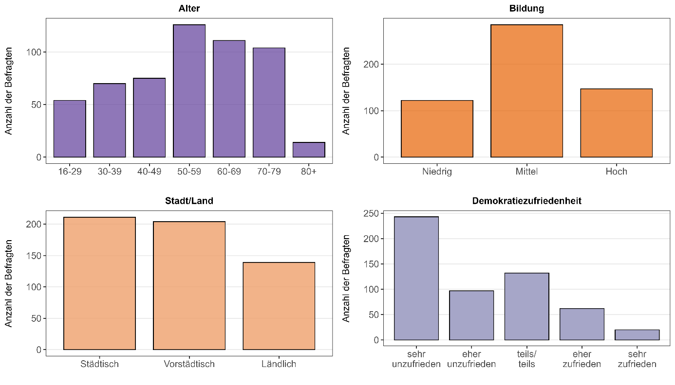
Vor diesem Hintergrund stellt sich die Frage, welche Bürger:innen Kompromisse eher als Verrat wahrnehmen. Abbildung 2 zeigt die Merkmale derjenigen Bürger:innen, die der Aussage „Kompromisse sind ein Verrat“ eher oder voll zustimmen. Es handelt sich dabei überwiegend um Personen über 50 Jahre, die der mittleren Bildungskategorie angehören und vorwiegend in städtischen oder vorstädtischen Gebieten leben. Auffällig ist zudem, dass diese Gruppe häufig sehr unzufrieden mit der Demokratie in Deutschland ist.
Abb. 2: Wer sind diejenigen, die Kompromisse ablehnen?

Anm.: Analyse der Subgruppe der Befragten, die der Aussage „Was in der Politik Kompromiss genannt wird, ist in Wirklichkeit nur ein Verrat von Prinzipien“ eher oder voll zustimmen, hinsichtlich ihrer Verteilung nach Alter, Geschlecht, Stadt/Land und Demokratiezufriedenheit.
Angesichts dessen, dass vor allem populistische Parteien Kompromisse als Verrat betrachten, lohnt sich auch ein Blick auf die Verteilung der Einstellungen nach Parteipräferenz. Befürworter:innen der Grünen lehnen die Aussage, dass Kompromisse ein Verrat seien, insgesamt am deutlichsten ab. Bei den Anhänger:innen von CDU und SPD zeigt sich ein gemischtes Bild. Die Mehrheit ordnet sich in die mittlere Kategorie ein, wobei knapp über 10 Prozent der CDU-Wähler:innen der Aussage eher zustimmen. Ein ähnliches Muster zeigt sich bei den Wähler:innen der Linken. Ein klarer Ausreißer sind die Wähler:innen der AfD: rund 40 Prozent stimmen der Aussage voll zu, dass Kompromisse ein Verrat seien. Gleichzeitig befindet sich ein nicht unerheblicher Teil der AfD-Anhänger:innen in der Mitte. Dies deutet darauf hin, dass auch AfD-Wähler:innen nicht einheitlich gegen Kompromisse eingestellt sind und diese nicht zwingend grundsätzlich vollständig ablehnen.
Abb. 3.: Einstellung zu Kompromissen nach Parteipräferenz

Anm.: Die Parteipräferenz wurde anhand der Frage „Wenn nächsten Sonntag Bundestagswahl wäre, welche der folgenden Parteien würden Sie wählen?“ gemessen.
Ohne Kompromiss keine Demokratie
Aus demokratietheoretischer Perspektive sind diese Muster aufschlussreich, da sie zeigen, dass Einstellungen zu Kompromissen in der deutschen Bevölkerung variieren und sowohl Ablehnung als auch Zustimmung zu Kompromissen breit vertreten sind. Dies wirft wichtige Fragen darüber auf, wie Bürger:innen politische Prozesse wahrnehmen, welche Erwartungen sie an demokratische Entscheidungen haben und wie Parteien und Politiker:innen dazu beitragen können, ein differenziertes Verständnis von Kompromissen und Konflikten zu fördern.
Dazu gehört, politische Auseinandersetzungen und unterschiedliche Interessen bewusst als notwendigen Bestandteil demokratischer Entscheidungsprozesse zu vermitteln. Politischer Streit ist kein Zeichen von Zerfall oder Versagen, sondern Ausdruck pluralistischer Repräsentation. Immer wenn Differenzen zwischen gesellschaftlichen Gruppen sichtbar werden, ist dies eine notwendige Voraussetzung für legitime Entscheidungen und keine Schwäche im System. Gerade weil diese Aushandlungen zentral für das Funktionieren der Demokratie sind, sollten sie als politische Leistung verstanden und als solche kommuniziert werden. Dabei ist zentral, dass politische Kompromisse nachvollziehbar erklärt werden: Welche Interessen wurden berücksichtigt? Welche Alternativen standen zur Debatte? Warum gilt die gewählte Lösung als tragfähig? Eine transparente Darstellung signalisiert verantwortungsvolles Entscheiden und macht die Logik demokratischer Entscheidungsprozesse für die Öffentlichkeit sichtbarer.
Darüber hinaus ist es notwendig, realistischere Erwartungen an politische Entscheidungsprozesse zu fördern. Moderne Demokratien – insbesondere Mehrparteiensysteme – sind strukturell auf Aushandlung und Ausgleich angewiesen. Politik ist eben auch selten eindeutig oder widerspruchsfrei. Dabei wird häufig übersehen, dass „Kompromiss“ nicht immer dasselbe bedeutet. In der politischen Praxis kann ein Kompromiss viele Formen annehmen. Man trifft sich bei einer Lösung in der Mitte, erlaubt Ausnahmen oder Übergangsregelungen, oder unterschiedliche politische Akteure setzen jeweils eigene Vorhaben durch. Mitunter bedeutet Kompromiss auch – und das ist wohl häufig der Fall –, dass eine politische Forderung nur umgesetzt wird, wenn auf eine andere verzichtet wird. Und in manchen Fällen besteht der Kompromiss schlicht darin, dass ein besonders konfliktträchtiges Thema vorerst ausgeklammert wird, weil sich einfach kein Kompromiss finden lässt.
Politik ist damit weniger die Kunst, das Wünschenswerte vollständig umzusetzen, als vielmehr die Kunst Mögliches zu realisieren. Je pluraler die politische Landschaft wird, desto kleiner wird oft der Bereich politisch konsensfähiger Lösungen. Gerade hier wird aber auch das Potential von Kompromissen deutlich. Parteien, die offen Zugeständnisse machen, zeigen auch, dass sie bereit sind auf die anderen Parteien, und somit unterschiedliche Gruppen innerhalb der Gesellschaft, zuzugehen. Dieses Zugehen sollte noch viel deutlicher betont werden, da es den Bürger:innen signalisiert, dass sie in ihren Anliegen ernst genommen werden.
Gerade in Zeiten zunehmender Polarisierung kann eine solche Konflikt- und Kompromisskultur dazu beitragen, Vertrauen in demokratische Prozesse und in die Politik zu stärken. Wenn politische Akteure es deutlich machen, dass sie nicht nur für ihre eigene Position kämpfen, sondern auch bereit sind zuzuhören und sich zu bewegen, wird sichtbar, was demokratische Politik im Kern ausmacht: der Versuch, in einer pluralen Gesellschaft gemeinsam tragfähige Lösungen zu finden.
¹ RTL/ntv-Trendbarometer: Was die Bürger 2026 von der Politik erwarten – ntv.de